JosiasAtHackClub

JosiasAtHackClub

0-day streak
[test] admit it you love bananas don't you?
https://scrapbook-into-the-redwoods.s3.us-east-1.amazonaws.com/0bfc9f1a-13ec-49a2-9715-db00c886d86d-mike-dorner-sf_1zda1yfw-unsplash.jpg
game over
Need to fix an issue in scrapbook v2, sprig too. That said, working on a new ysws… will share soon!
https://scrapbook-into-the-redwoods.s3.us-east-1.amazonaws.com/f841e20c-f8be-4e3f-8866-284ae8dbb47e-img_7038.jpg
summer-of-making emoji
sprig-dino emoji
ultrafastparrot emoji
Learned some PCB desing yesterday. Forgot to share it here
https://scrapbook-into-the-redwoods.s3.us-east-1.amazonaws.com/154881a5-5328-406a-9ab0-706ad1746707-img_7018.jpg
summer-of-making emoji
pcb emoji
Vibing at a hackathon in Yaounde
https://scrapbook-into-the-redwoods.s3.us-east-1.amazonaws.com/4457fc18-3d28-4799-830b-8ebd75145676-img_6330.jpg
summer-of-making emoji
Spent about 3 hours last night compiling Essense OS from scratch and getting it running. One interesting thing is that it has it's own scripting language that serves as it's build system. So you first build the scripting language interpreter and then use it to bootstrap the OS. Will spend some time in the future exploring and poking around the source. Or maybe I should try xv6 first.
[test] just a picture of my laptop
https://scrapbook-into-the-redwoods.s3.us-east-1.amazonaws.com/3e241e59-75f4-40dc-ac39-a643c1017c04-img_9683.jpg
https://scrapbook-into-the-redwoods.s3.us-east-1.amazonaws.com/c4e9d9b4-706f-4ecb-846f-d4721bd1cc7b-53d32671-f55b-472c-bc48-5a7fff672ddc-image.png
[testing] scrappy should continue working properly now
https://scrapbook-into-the-redwoods.s3.us-east-1.amazonaws.com/4aa73bdc-5522-4bc7-9972-e47c69405601-screenshot_2025-01-21_at_17.39.06.png
wom emoji
scrappy emoji
yay emoji
[testing] just a piece of my wallpaper
https://scrapbook-into-the-redwoods.s3.us-east-1.amazonaws.com/f3b4d9fe-5aa2-422f-8701-caf10c00dbda-image.png
wom emoji
https://scrapbook-into-the-redwoods.s3.us-east-1.amazonaws.com/96da56a3-961c-4b2b-9a94-ea84c1984166-9f159618-e236-498b-9858-3f1bd7f7e9d3.png
wom emoji
github emoji
scrappy emoji
[testing] does scrappy on coolify send any grafana stats? (screenshot is scrappy source code)
https://scrapbook-into-the-redwoods.s3.us-east-1.amazonaws.com/470dd172-8ceb-4ae2-8019-9cdc37b18706-image.png
wom emoji
goose-honk-technologist emoji
scrappy emoji
[testing] scrappy is now on coolify!! (image is wallpaper extract of bloom)
https://scrapbook-into-the-redwoods.s3.us-east-1.amazonaws.com/43201b97-c882-4879-b4c8-fce28d3e66f0-image.png
wom emoji
scrappy emoji
[testing] this should still be working
https://scrapbook-into-the-redwoods.s3.us-east-1.amazonaws.com/0cf33bf4-1405-4e74-be9a-56327dd04123-image.png
[testing] this should still be working
https://scrapbook-into-the-redwoods.s3.us-east-1.amazonaws.com/9155b5fb-3bf1-4f19-ad80-90bd97ede6e9-image.png
wom emoji
[testing] so it works fine on Heroku but not here?
https://scrapbook-into-the-redwoods.s3.us-east-1.amazonaws.com/b8de7fae-4f03-430c-88de-f2e508598998-image.png
wom emoji
Scrappy is going to be temporarily down. Testing a few things
https://scrapbook-into-the-redwoods.s3.us-east-1.amazonaws.com/a0368b50-9678-4c4e-be9c-dd6b4f5442b2-image.png
wom emoji
scrappy emoji
https://scrapbook-into-the-redwoods.s3.us-east-1.amazonaws.com/e0c1b1ee-5daa-459c-b267-3e98dc7671bb-15b00b1b-0cce-478b-80a7-451fa1847216.png
wom emoji
[testing] does this work?
[test] last one perhaps
https://scrapbook-into-the-redwoods.s3.us-east-1.amazonaws.com/c4859b0a-df88-4b8c-b016-cbb3a1bf9901-screenshot_2024-12-10_at_16.13.30.png
[does scrappy think i'm cheating it?]
https://scrapbook-into-the-redwoods.s3.us-east-1.amazonaws.com/566be499-2bed-4d7e-8ae2-62ee6a53d874-image.png
thinking emoji
scrappy emoji
worked on this some time ago but didn't ship. been a bit curious about brainfuck so i hacked together an interpreter in Zig. i think there's room for making the code more concise but it works. The demo video below includes an example of it running a sierpinski triangle brainfuck program i found on the internet Link to source: github.com/JosiasAurel/brainfuckz
update on a drone side project i've been working with @GlenMue (haven't shared updates in a while, cuz it's actually hard, lots of hiccups along the way, this is my first hardware project and... well... life has been lifeeeinnngggg 🌦️) 1. got most of the firmware implemented and the PID controller 2. got one of the propellers broken during a test :crydeath: - we now need to get a new set, haven't found any yet in shops around (hopefully won't have to order online) That's all I've to share, gotta get back to work Linked a video to showcase the work we've done so far
summer-of-making emoji
hardware emoji
[test] upload image
https://scrapbook-into-the-redwoods.s3.us-east-1.amazonaws.com/244e8bd9-3dea-4be4-9843-3588973043cc-54573191.png
summer-of-making emoji
summer-of-making emoji
https://scrapbook-into-the-redwoods.s3.amazonaws.com/c28db500-d35a-412a-bd80-1d81ce353d7f-together_alone_by_bisbiswas_delpfql.jpg
github emoji
summer-of-making emoji
[test] my latest personal site is very simple actually josiasw.dev
https://scrapbook-into-the-redwoods.s3.amazonaws.com/c373b9dc-0ddd-4d9b-8535-8de2b7c8130b-together_alone_by_bisbiswas_delpfql.jpg
summer-of-making emoji
[test] here's another picture
https://scrapbook-into-the-redwoods.s3.amazonaws.com/0f0ac175-3bb4-45a3-9c3e-5a9a20d476dd-gemini_generated_image_cfcfgdcfcfgdcfcf.jpeg
[test] just a cat looking at a bird
https://scrapbook-into-the-redwoods.s3.amazonaws.com/0f872a62-9a3c-4521-9395-6e780f7a256f-image.png
[test] also got this one from the internet - digital dandelions
https://scrapbook-into-the-redwoods.s3.amazonaws.com/6d4522a7-04f1-4907-92a1-8878aad72c3d-image.png
summer-of-making emoji
[test] got this from the internet
https://scrapbook-into-the-redwoods.s3.amazonaws.com/9a62947a-4d28-4595-8e2d-4c3bded84a72-image.png
summer-of-making emoji
@magic@magic.com
https://scrapbook-into-the-redwoods.s3.amazonaws.com/b3d85395-9123-4878-98b2-aa7ef184c8cb-image.png
beachball emoji
summer-of-making emoji
@magic@magic.com
https://scrapbook-into-the-redwoods.s3.amazonaws.com/f2426a4c-8d71-40ee-a9f6-3f6176bcb685-image.png
beachball emoji
summer-of-making emoji
summer-of-making emoji
@another@another.com
https://scrapbook-into-the-redwoods.s3.amazonaws.com/e4932bcc-787f-4972-b976-901faa5e58fb-image.png
summer-of-making emoji
beachball emoji
summer-of-making emoji
@soemthing@something.com
https://scrapbook-into-the-redwoods.s3.amazonaws.com/76f38d11-df98-4fa3-8d1b-ef55a07da08c-image.png
beachball emoji
summer-of-making emoji
summer-of-making emoji
this one should go through
https://scrapbook-into-the-redwoods.s3.amazonaws.com/2b4db5de-a742-4a9d-9770-63a6f82391f2-image.png
beachball emoji
summer-of-making emoji
summer-of-making emoji
another screenshot showing the actual code
https://scrapbook-into-the-redwoods.s3.amazonaws.com/b64e8454-2a7e-4418-8393-c4e101f42866-image.png
summer-of-making emoji
goose-honk-technologist emoji
[test] screenshot of my editor
https://scrapbook-into-the-redwoods.s3.amazonaws.com/1ce86351-81ee-4d66-925a-63463042e242-image.png
summer-of-making emoji
something something 2
https://scrapbook-into-the-redwoods.s3.amazonaws.com/5cd81f67-4510-476a-ac83-352a66df9cca-ch03.png
[test] a piece of my wallpaper
https://scrapbook-into-the-redwoods.s3.amazonaws.com/21d4c68c-d5aa-4171-90da-e5db2036f991-image.png
summer-of-making emoji
[test] a piece of my new cool wallpaper
https://scrapbook-into-the-redwoods.s3.amazonaws.com/31037131-a066-4995-bd54-668ce8b627c6-image.png
summer-of-making emoji
cooll-dino emoji
https://scrapbook-into-the-redwoods.s3.amazonaws.com/ea560f33-eae5-4fd0-baff-173b33e7c52c-image.png
summer-of-making emoji
[test] gonna delete this real quick
https://scrapbook-into-the-redwoods.s3.amazonaws.com/6da6203b-b5f6-4036-ad92-e16bfa2dce3c-image.png
summer-of-making emoji
[test] morning has arrived
https://scrapbook-into-the-redwoods.s3.amazonaws.com/b6ba3b5a-687c-4896-a4ed-e3edab5aefc7-image.png
[test] just a piece of my wallpaper
https://scrapbook-into-the-redwoods.s3.amazonaws.com/c08d27a8-6855-4aff-a782-cf5bedad5fff-image.png
summer-of-making emoji
[test] loving monokai theme
https://scrapbook-into-the-redwoods.s3.amazonaws.com/e074bfbd-6778-4144-9656-404f2f7329aa-image.png
summer-of-making emoji
[test] screenshot of code/terminal
https://scrapbook-into-the-redwoods.s3.amazonaws.com/614d348a-bfff-483d-8d39-64e5d98990b0-image.png
summer-of-making emoji
goose-honk-technologist emoji
https://scrapbook-into-the-redwoods.s3.us-east-1.amazonaws.com/cc9dc7bb-41b4-43a7-b3cd-694462c6fa81-5e2bbd38-25d2-4653-9244-6d97de00b56f.png
summer-of-making emoji
github emoji
scrappy emoji
[test] just another random screenshot from my desktop
https://scrapbook-into-the-redwoods.s3.amazonaws.com/8a4a8cf1-0f8b-4495-b861-93766d997099-Screenshot%202024-06-18%20at%2002.49.18.png
[test] just a random screenshot from my desktop
https://scrapbook-into-the-redwoods.s3.amazonaws.com/4afc6820-6c86-4aef-9449-a4adb09ad205-Screenshot%202024-06-13%20at%2014.39.42.png
[test] this soup has no texture
https://scrapbook-into-the-redwoods.s3.amazonaws.com/91719572-0e81-4eeb-bdc4-01b826c92073-img_0442.jpg
summer-of-making emoji
[test] finding out how well scrappy handles this
https://scrapbook-into-the-redwoods.s3.amazonaws.com/3d0bb88d-981e-4461-a25d-e88c2053484b-screenshot_2024-06-13_at_14.39.42.pnghttps://scrapbook-into-the-redwoods.s3.amazonaws.com/b12087e3-7b9a-4c23-9b11-22ec785b8c6c-screenshot_2024-06-21_at_00.35.08.pnghttps://scrapbook-into-the-redwoods.s3.amazonaws.com/f8816b68-dc76-4295-b423-78356387cb39-screenshot_2024-06-11_at_15.19.28.pnghttps://scrapbook-into-the-redwoods.s3.amazonaws.com/80247a44-39e1-4f21-b36f-2702aabbd6e4-screenshot_2024-06-18_at_02.49.18.pnghttps://scrapbook-into-the-redwoods.s3.amazonaws.com/608a4c26-d7e2-497a-9284-cddb3993a9b4-screenshot_2024-06-20_at_12.09.37.pnghttps://scrapbook-into-the-redwoods.s3.amazonaws.com/5370a76d-3f95-4eef-91cf-e41b27f80887-screenshot_2024-06-20_at_18.56.03.pnghttps://scrapbook-into-the-redwoods.s3.amazonaws.com/0813ebea-4645-4f4d-85a5-e66a85e27d58-screenshot_2024-06-20_at_12.09.40.pnghttps://scrapbook-into-the-redwoods.s3.amazonaws.com/ada0cd11-0300-4d82-a192-4c3d204afd22-screenshot_2024-06-13_at_20.21.55.pnghttps://scrapbook-into-the-redwoods.s3.amazonaws.com/698e8311-9095-499a-b379-3bc2a913b51e-screenshot_2024-06-13_at_11.35.04.pnghttps://scrapbook-into-the-redwoods.s3.amazonaws.com/ef99c513-99d0-44f8-9235-3690f0324661-screenshot_2024-06-21_at_11.45.18.png
summer-of-making emoji
scrappy emoji
[test] just some logs
https://scrapbook-into-the-redwoods.s3.amazonaws.com/051a6f36-02dd-44d0-8975-1113f7b235a5-image.png
summer-of-making emoji
[test] to be deleted
https://scrapbook-into-the-redwoods.s3.amazonaws.com/7d21c8ae-9aea-4442-94dc-c0d3b6ead98a-Screenshot%202024-06-13%20at%2014.39.42.png
[test] also hack clubbing @gibberish@example.com
https://scrapbook-into-the-redwoods.s3.amazonaws.com/159da906-7231-4fed-b404-aaa09fce3241-img_5058.jpg
spring-of-making emoji
goose-honk-technologist emoji
doing some React Native
https://scrapbook-into-the-redwoods.s3.amazonaws.com/c5bdd756-0996-45f1-bdce-5174e9a20166-image.png
spring-of-making emoji
react emoji
graph in side project
https://scrapbook-into-the-redwoods.s3.amazonaws.com/e6bb9eea-8bad-49f1-92ef-b8f0136251ac-whatsapp_image_2024-04-28_at_14.37.12.jpeg
Late update: We got halfway there balancing our drone yesterday. We didn’t get to record because the cables connected to our battery burnt due to a short circuit 🥲 so we’ll have to solder new ones.
https://scrapbook-into-the-redwoods.s3.amazonaws.com/523b2f4e-6b80-4fc0-a94a-5dbec77ba256-img_3714.jpg
Update. We’ve assembled the drone together and make all the four motors work. We managed to get all the motors and work but it does not balance correctly. That’s our next challenge 👍
https://scrapbook-into-the-redwoods.s3.amazonaws.com/550cf1ea-48b7-4573-87e1-6bdb59130d87-img_3711.jpghttps://scrapbook-into-the-redwoods.s3.amazonaws.com/92db0f94-bb36-4f96-b9e1-50a228cdeff1-img_3707.jpg
spring-of-making emoji
lets-fucking-gooo emoji
With my friend @GlenMue we set out to build a RC drone ourselves for nothing other than fun. We started last weekend and so far, we’ve managed to get a motor working. @undefined is doing the soldering like a pro :saluting_face:
https://scrapbook-into-the-redwoods.s3.amazonaws.com/8ca50b30-2358-4719-90d4-0cf950447b2e-img_3704.jpghttps://scrapbook-into-the-redwoods.s3.amazonaws.com/44a7737c-aa8d-4de1-86cc-4d99bc38941f-img_3702.jpg
scrappy-retry emoji
setup Tailscale earlier this morning and using a DigitalOcean droplet as an exit node (a personal VPN)
https://scrapbook-into-the-redwoods.s3.amazonaws.com/d0cb5c99-b699-46ef-a0e9-4e93280ba17f-screenshot_2024-03-21_at_12.47.06.png
new article just dropped (actually last evening but 🤷//josiasw.dev/writing/automatic-social-behaviour>
https://imgutil.s3.us-east-2.amazonaws.com/b6ad249f2b464c8ce09d879ace2097be043a4e6aea5cf5b74beef24c3d9062ba/8a0ccaf2-752f-40d6-a75a-12f080d93dfd.png
Oh yes another inconsistent scrapbook post. Added basic support for loops in my VM. It is doing n += 1 for a variable stored in its own memory now. Also working on making draw basic shapes
https://scrapbook-into-the-redwoods.s3.amazonaws.com/193bd329-34ef-4a4b-b58f-1cd6cb557ec2-whatsapp_image_2024-03-08_at_17.41.24.jpeg
upvote emoji
day 3 of #10-days-in-public, spent some time in the source of tyvm but frankly majority of my day was spent doing documentation type of things and dev work for an event
https://scrapbook-into-the-redwoods.s3.amazonaws.com/5b1411ef-16f5-4236-a8bb-a1557f7ec6c6-image.pnghttps://scrapbook-into-the-redwoods.s3.amazonaws.com/0289c647-35f0-4cae-ae5d-eb0df2e0f5a1-image.png
10daysinpublic emoji
day 2 of #10-days-in-public reading through the source of tyvm to learn a few tricks 🏯
https://scrapbook-into-the-redwoods.s3.amazonaws.com/e3d8fe47-a2a8-455c-805c-906cfc276bd3-image.png
10daysinpublic emoji
Day 1 of #10-days-in-public: I'm very late but here's an update -> Implemented Power, Square Root and Multiplication operations in my VM and created this pattern
https://scrapbook-into-the-redwoods.s3.amazonaws.com/9ef1a5a6-73dc-4f08-b088-228ea8b4fe43-image.png
getting back to work on a project i've been procrastinating on: a virtual machine which I'm writing in... yes you guessed it wrong... Zig :clapping: more updates will go into my personal channel #josias-nest
nice100 emoji
wom emoji
if you're using Python on Mac, you might want to run the "Install Certificates.Command" script especially if you get a SSL certificate error when making network requests
https://scrapbook-into-the-redwoods.s3.amazonaws.com/32c01e0d-ff76-46e1-9acb-c88c7b7d28bc-gfvafr_weaeq-hi.jpeg
[testing] here is a random xkcd comic
https://scrapbook-into-the-redwoods.s3.amazonaws.com/a1590645-57df-44d1-b069-4fd557f4e9af-image.png
some random screenshot for testing purposes
https://scrapbook-into-the-redwoods.s3.amazonaws.com/b7ae9b19-a4ee-4b2c-a1f8-49d07a93c4d5-Screenshot%202024-02-05%20at%2004.37.53.png
wrote a stupid script that would spawn 400+ threads on my Mac and instant regret 🤦‍♂️
https://scrapbook-into-the-redwoods.s3.amazonaws.com/daa3239b-49c5-41a6-bb2b-a634398f01bb-img_2900.jpg
[test] 60mb video file (original was 1GB)
[test] video i found on the internet
[testing] (some code i wrote for a challenge)
https://scrapbook-into-the-redwoods.s3.amazonaws.com/83acb5b2-500e-461a-a1d4-5d0e6ae8cb85-image.png
Tried to scrapbook your ship with links but scrappy rejected because there is no image? Well, fret no more! Now if your post comes with a link having a snazzy image preview, scrappy will gladly take it! github.com/hackclub/scrappy
https://scrapbook-into-the-redwoods.s3.us-east-1.amazonaws.com/982e380a-6174-4e73-9c6a-1dd552a8483f-9b5681cb-0c8c-4887-83b2-8ccb71657071.png
https://scrapbook-into-the-redwoods.s3.us-east-1.amazonaws.com/392c5f8f-ed9d-4adf-b74b-cc563c637ba7-be77bdd5-8334-404c-8e81-d7248ca190b5.jpeg
just testing... found this on unsplash
https://scrapbook-into-the-redwoods.s3.amazonaws.com/0774ea09-1540-4f3c-8902-af4ee675dc06-dippyaman-nath-alvvgqsy4ac-unsplash.jpg
beautiful
https://scrapbook-into-the-redwoods.s3.amazonaws.com/3eef4376-58c9-4919-8eb4-1c431ebe1d1d-image.png
https://scrapbook-into-the-redwoods.s3.amazonaws.com/9dd0a26f-4dbc-42d0-af3e-cb58b8225c40-image.png
woke up at 3am today and mostly spent time installing and setting up Raycast till like 6am. I don't regret doing that!
https://scrapbook-into-the-redwoods.s3.amazonaws.com/d41838ab-bcd5-4999-bb01-de399611044c-image.png
found this via a discord server
https://scrapbook-into-the-redwoods.s3.amazonaws.com/5cf0504e-b74f-4450-afed-3668ca4a993c-screenshot_2023-12-12_at_13.58.27.png
This guy has been stuck here for a while and needs your help
passive aggressive way of saying "your internet is trash"
https://scrapbook-into-the-redwoods.s3.amazonaws.com/f3b4df3c-bed9-4e5c-837a-476227a230b5-image.png
skull-ios emoji
just a random bird for testing. hello
https://scrapbook-into-the-redwoods.s3.amazonaws.com/4fe5f880-79d4-497b-bcfc-1e6f66a8707b-721b99bb-ce5d-4ac7-ad03-90878579860d.sketchpad-removebg-preview.png
rocked a new record at typing !!
https://scrapbook-into-the-redwoods.s3.amazonaws.com/0ae889bf-fd69-43a7-83be-823857cd1abc-image.png
looked into python context managers
https://scrapbook-into-the-redwoods.s3.amazonaws.com/87d94328-8564-4149-bd33-6a5350b4f338-image.png
dear dictionary, WHY??
https://scrapbook-into-the-redwoods.s3.amazonaws.com/f96a3911-ebd1-467b-9e64-7e35b3347269-image.png
skull-ios emoji
forgot to post this weekend but began working on a pacman-like game called "pacbot". I'm using emojis cuz I'm too lazy to draw proper characters. hoping to ship this soon #100-days #100-orpheus
https://scrapbook-into-the-redwoods.s3.amazonaws.com/d7634dd7-a738-4373-8802-8b6f8a282ccc-image.png
Forgot to post yesterday. I got my sprig, assembled and played my game on it yay!! + some stickers
https://scrapbook-into-the-redwoods.s3.amazonaws.com/a60b5d3f-884d-409b-a52c-5986346155d1-43e4dd0b-5874-4d92-83af-9a2ce0076ca9.jpghttps://scrapbook-into-the-redwoods.s3.amazonaws.com/562203c1-5e2c-483c-95e6-ec66d30bf05e-7b2ea2d1-40bd-4bf8-9fac-60afe9a77881.jpg
definitely not trying to cheat scrappy 😇
https://scrapbook-into-the-redwoods.s3.amazonaws.com/5d03513c-5114-43a9-83e0-f40c70284f56-image.png
eggsdee emoji
investigating some issue in scrapbook
https://scrapbook-into-the-redwoods.s3.amazonaws.com/d7a5313a-a9f5-4d1a-88f5-da1de9ab66f0-image.png
still a post to see if it posts to a different scrapbook account
https://scrapbook-into-the-redwoods.s3.amazonaws.com/042ae889-e40f-45b9-ba65-0206413b8945-Screenshot%202023-11-07%20at%2014.12.05.png
first scrapbook post on the staging environment... image didn't upload successfully but it seems to be working alright though
https://scrapbook-into-the-redwoods.s3.amazonaws.com/2a19c447-f665-445c-b917-e4fa59a78502-image.pnghttps://scrapbook-into-the-redwoods.s3.amazonaws.com/fa56aa67-1e60-4037-beb9-3b311e841293-image.png
yay emoji
I've always wanted to build something concrete with Zig. So today I built this CLI that allows you to convert from one timezone to another. Source (+ linux binary in release): github.com/JosiasAurel/dt
https://scrapbook-into-the-redwoods.s3.amazonaws.com/1da3ba59-2441-4be3-a340-2b4b05afd770-screenshot_from_2023-03-23_18-24-06.png
this is not corn 😐
https://scrapbook-into-the-redwoods.s3.amazonaws.com/b771cf29-d117-4345-aeea-9873279ca08d-raphael-rychetsky-li9jfuhqfoy-unsplash.jpg
something else now please work... this should be fun
https://scrapbook-into-the-redwoods.s3.amazonaws.com/843a850b-942e-42de-b59f-258a677c1520-sincerely-media-wnmonqihpwq-unsplash.jpg
https://scrapbook-into-the-redwoods.s3.amazonaws.com/3ab941cb-c38c-4961-9df6-8e07d6997cec-other.png
something something with a this should be striked and s
https://scrapbook-into-the-redwoods.s3.amazonaws.com/97908411-8cbf-459b-8a2b-cc32a3239b15-other.png
this post will be retroactively watched -- I'm misusing the term retroactive
https://scrapbook-into-the-redwoods.s3.amazonaws.com/0cd6cfbc-6d2b-4e14-8e23-bca3c5f56506-flower.webp
First 100-days posts -- been following the Crafting Interpreters book here and there and got a basic parser working in Java
https://scrapbook-into-the-redwoods.s3.amazonaws.com/a91898c5-0d4d-477b-bacb-2026b0f14d64-image.png
this should not go through
https://scrapbook-into-the-redwoods.s3.amazonaws.com/0b8a2966-c348-4fb9-a375-c0a7b623184b-sample.webp
this should not go through
https://scrapbook-into-the-redwoods.s3.amazonaws.com/dda96c83-a151-4345-b243-a29ad23f70e9-sample.webp
scrappy-retry emoji
scrapbook now supports .webp images
https://scrapbook-into-the-redwoods.s3.amazonaws.com/9d9d55b4-0dba-44ea-8775-696850a7a8bd-flower.webp
hugo-smiel-dot-webm emoji
this lion is cool
https://scrapbook-into-the-redwoods.s3.amazonaws.com/91249b0a-f7a5-4df5-ba5d-d439c3f5085e-example.webp
just making a web post
https://scrapbook-into-the-redwoods.s3.amazonaws.com/fe378b42-774d-481f-960e-9ad5101b45aa-Screenshot%202023-10-26%20at%2018.01.23.png
this is not an orange \<3
https://scrapbook-into-the-redwoods.s3.amazonaws.com/18d55dbe-c527-40cf-b2bb-52c5ecc9fb8f-image.png
ah just adding a <3 from the web editor
https://scrapbook-into-the-redwoods.s3.amazonaws.com/3000b17b-d2ce-4e28-a317-42c0c259c6c5-generator.png
i got this picture from lorem picsum
https://scrapbook-into-the-redwoods.s3.amazonaws.com/e34e09e5-763f-4997-8fd6-3e335f9c2d34-random.jpeg
got this from the Zig Showtime newsletter and someone has a Zig project with the same name as one of my Zig projects
https://scrapbook-into-the-redwoods.s3.amazonaws.com/475da5e5-5957-4841-badd-ccc75b0bc3d8-image.png
scrappy-retry emoji
got this from the Zig Showtime newsletter and someone has a Zig project with the same name as one of my Zig projects
https://scrapbook-into-the-redwoods.s3.amazonaws.com/8c096b31-a760-4c0a-ace8-8d86c3b74fdf-image.png
scrappy-retry emoji
got this from the Zig Showtime newsletter and someone has a Zig project with the same name as one of my Zig projects
https://scrapbook-into-the-redwoods.s3.amazonaws.com/c9e1a647-9384-401d-a5cf-104c6c8d3c24-image.png
orpheus emoji
adding dark mode to the Sprig editor... was harder than I expected :face_holding_back_tears:
sprig-dino emoji
how nice this site using up ~3GB memory and crunching CPU
https://scrapbook-into-the-redwoods.s3.amazonaws.com/0405fa98-9db3-4a99-9f39-a17cc4c28dea-image.png
got spade running locally :yay:
https://scrapbook-into-the-redwoods.s3.amazonaws.com/40291fad-579f-4b38-bff7-d32eed157468-image.png
yay emoji
sprig-dino emoji
nice100 emoji
Dear scrappy, work this time
https://scrapbook-into-the-redwoods.s3.amazonaws.com/671f3dd5-0b7f-429f-8944-04931254a772-image_480.png
scrappy emoji
investigating why scrappy isn't working alright... found this random picture from the internet
https://scrapbook-into-the-redwoods.s3.amazonaws.com/d2c315c9-0b00-4cd6-b038-a0eb7b7051e7-image.png
Dear Scrappy, work
https://scrapbook-into-the-redwoods.s3.amazonaws.com/c1f8a1dd-641f-4db1-bf98-1a4615ecfdf2-image.png
did some code review on a side-project with a friend. peek at the wip UI
https://scrapbook-into-the-redwoods.s3.amazonaws.com/247002bc-1386-4157-b1ed-2c673514f053-image.png
stuff in here
https://scrapbook-into-the-redwoods.s3.amazonaws.com/9d5610fa-00ba-434f-9952-2cd12e77a7c9-aldebaran-s-uXchDIKs4qI-unsplash.jpg
Doing some work on scrapbook
https://scrapbook-into-the-redwoods.s3.amazonaws.com/6dfdae1b-d68b-412a-a85d-010bc0ed8290-Screenshot%202023-09-13%20at%2015.46.24.png
the beauty of maths
https://scrapbook-into-the-redwoods.s3.amazonaws.com/8b2ebffd-12f3-4ded-af26-349794fce5b3-image.pnghttps://scrapbook-into-the-redwoods.s3.amazonaws.com/fb7660f0-2c15-464c-83be-9e64121be0d6-image.png
https://scrapbook-into-the-redwoods.s3.amazonaws.com/322f5b40-2982-4d9f-9441-a568cd6ce81d-screenshot_2023-09-10_at_07.04.53.pnghttps://scrapbook-into-the-redwoods.s3.amazonaws.com/e083ae4f-238f-48a5-a9aa-ff6fd96923d1-image.png
summer-of-making emoji
github emoji
https://scrapbook-into-the-redwoods.s3.amazonaws.com/40cbcf97-db11-4a39-8278-7822412219f1-screenshot_2023-09-10_at_07.04.53.pnghttps://scrapbook-into-the-redwoods.s3.amazonaws.com/688d87c4-2399-424f-ba48-841542eef1a5-image.png
wrote a Sudoku solver in Zig -- learned some memory management-related stuff and some weird tricks peculiar to Zig... like putting a variable in a struct automatically makes them static and will live for the lifetime of the program
https://scrapbook-into-the-redwoods.s3.amazonaws.com/a20cfe26-e3ec-4404-9799-05739c7e9a46-image.png
doing some scrappy testing
https://scrapbook-into-the-redwoods.s3.amazonaws.com/9b01d5cc-c96b-4c15-b4d6-ca255bd3bfd4-image.png
summer-of-making emoji
scrappy emoji
did some Rust :rust: coding today and enjoyed it! I built a CLI that takes in boolean expressions, parses it and outputs the result after evaluating it source code: github.com/JosiasAurel/booltable
https://scrapbook-into-the-redwoods.s3.amazonaws.com/031df037-a3f2-49b0-b8b0-77fae3dbff68-screenshot_2023-08-27_at_15.53.22.pnghttps://scrapbook-into-the-redwoods.s3.amazonaws.com/78c9f874-868c-480e-9991-c42fb97ad050-screenshot_2023-08-27_at_15.53.49.pnghttps://scrapbook-into-the-redwoods.s3.amazonaws.com/9631e6b6-7cbb-4739-aec7-661d669f7675-screenshot_2023-08-27_at_15.53.00.png
learned a bit about bigrams and created a simple model to predict names using it following zero to hero
https://scrapbook-into-the-redwoods.s3.amazonaws.com/b75872b3-2afe-4823-987a-12a19467c7f2-image.pnghttps://scrapbook-into-the-redwoods.s3.amazonaws.com/99c98c3e-549d-423a-8a58-017ee669df6f-image.png
wrote something to evaluate math expressions using the Pratt parser technique in Rust :rustlang:
https://scrapbook-into-the-redwoods.s3.amazonaws.com/d2ba3808-9ba5-4d9e-854c-5157f54961a0-image.png
rustlang emoji
first time my M2 air overheats and got me super worried while running the Hello World example from Raylib. Turns out I had to set FLAGVSYNCHINT before InitWindow. TIL V-sync tells the program to synchronize with the framerate of my display :thinkies: PS: yes this is Zig :swedenparrot:
https://scrapbook-into-the-redwoods.s3.amazonaws.com/84914899-33bc-4178-8e53-3c8c3b23579c-image.png
Not much today. Took some time to rewrite my markdown to html converter in C using stacks as per @GrahamDarcey's recommendation. It works better Still room for improvement tbh but I'll call it a day. Also the code is shorter :thumbsup-dino:
https://scrapbook-into-the-redwoods.s3.amazonaws.com/ad86b0c6-f5bb-4d80-8416-0158ce8b5aae-img-20230625-wa0034.jpghttps://scrapbook-into-the-redwoods.s3.amazonaws.com/67c51e7a-b5f4-48d5-aaf6-187a855e52a4-img-20230625-wa0035.jpg
nice100 emoji
Ok, I finally fixed why my personal website was not rendering OG images when sharing links on social media. Also did some styling and improvements on the writing and reading experience overall Here's an old post for testing josiasw.dev/writing/programming-paradigms
https://scrapbook-into-the-redwoods.s3.amazonaws.com/eb90134f-6fa7-401a-940c-35e8f24e9035-image.png
spring-of-making emoji
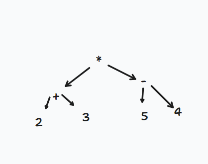
Another day of Zigging. So I improved my math parser to take on more complex expressions and evaluate them. Basically it takes the expression and builds a tree for the entire expression and then evaluates it from bottom to top with zero allocations. It doesn't yet support operator precedence though but I'm happy at how it turned out. Also I had to write my own functions to convert from string to numbers and vice versa. PS: Pointers are a nightmare somtimes :icri:
https://scrapbook-into-the-redwoods.s3.amazonaws.com/2b374443-c902-4871-ba3d-971b46b622ce-image.png
spring-of-making emoji
Today I spent some more time Zigging. Trying to improve my text calculator to support nested operations. Dealing with errors for now but it was fun to build many things myself like a function to convert from a string to a number and such.
https://scrapbook-into-the-redwoods.s3.amazonaws.com/44f2731a-69b2-429e-acb4-c138fa4e7fee-image.png
spring-of-making emoji
New post after a while. Today I spent some time doing the arithmetic arranger challenge from FreeCodeCamp. It was quite interesting to solve this problem and gradually build a solution. The final result is good looking
https://scrapbook-into-the-redwoods.s3.amazonaws.com/f6266ef7-27cc-44b1-8eb1-22e1c201e58f-arranger.png
New post after a while. Today I spent some time doing the arithmetic arranger challenge from FreeCodeCamp. It was quite interesting to solve this problem and gradually build a solution. The final result is good looking
https://scrapbook-into-the-redwoods.s3.amazonaws.com/83b8f4e7-ac40-40b1-8bda-b49f3d822721-powershell_-_interview-prep_-_visual_studio_code_5_24_2023_3_51_33_pm.png
I've always wanted to build something concrete with Zig. So today I built this CLI that allows you to convert from one timezone to another. Source (+ linux binary in release): github.com/JosiasAurel/dt
https://scrapbook-into-the-redwoods.s3.amazonaws.com/b32a9d24-e147-4769-803a-b98e25362f02-image.png
spring-of-making emoji
Finished drafting my manifesto and got back to the coding part. Created xarray data trees and printed them to the console. Figuring how to move DataSet from one parent node to another
https://cloud-h2ttg0kw0-hack-club-bot.vercel.app/0screenshot_20230314-184315_drive.jpg
wom emoji
Cloned the xarray data tree repo to start contributing for internship. Installed the Dev version locally. Ooffff next up is making some more changes on sinerider scoring service
https://cloud-ptpsd54sc-hack-club-bot.vercel.app/0img_20230313_150328.jpg
wom emoji
Spent some time putting together a manifesto for a personal project (will hopefully have something to show off soon) Woke early this morning to get some coding. Download the LLVM source to complete a task but 6hrs into the build it failed (due to insufficient RAM) ;( How's your Sunday going 🤧
https://cloud-3z0m9l646-hack-club-bot.vercel.app/0img-20230312-wa0015.jpg
wom emoji
https://cloud-2p5oa87kn-hack-club-bot.vercel.app/0image.png
c emoji
wom emoji
Epoch being unix
https://cloud-kajst9ygl-hack-club-bot.vercel.app/020221230_200144.jpg